|
多媒体会议室投影镜头偏心是指显示芯片(DMD、LCoS、LCD等)的中心与镜头光轴不重合。普 通镜头的光线是以镜头中心为基准进行投射的,因此若将投影机平放于桌面而不使用支架,一部分 图像可能会投射到桌面上,导致画面显示不完整。 偏心镜头正是为了解决这一问题而设计。通过将显示芯片相对于光轴进行偏移,使得投影机在水平 放置时,画面依然能够完整投射到正前方的屏幕上,从而避免图像被切割。具体示意图如下: 
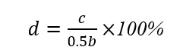
虽然将多媒体会议室投影机倾斜也可以在没有偏心的情况下使画面完整,但这样会导致画面出现严 重的梯形畸变,尽管可以通过算法对其进行校正,但每次摆放位置的不同都会使梯形畸变的程度不 同,难以进行有效的控制,同时倾斜放置还会造成清晰度不同的问题,难以根本地解决问题。 假设显示芯片的长为a,宽为b,芯片偏移量为c,则系统的偏心量d为: 
偏心量d是一个百分数,当偏心量是100%时,代表芯片移动的量为屏幕宽度的一半。为了保证像 面不被遮挡,偏心量d需要≥100%。偏移后的总半像高y可由以下公式计算: 
偏移前和偏移后总体的焦距保持一致,偏移后总的FOV可由以下公式进行计算: 
根据新得到的总半像高y和总视场角FOV就可以进行偏心投影镜头的设计。
|